공부 정리/수학
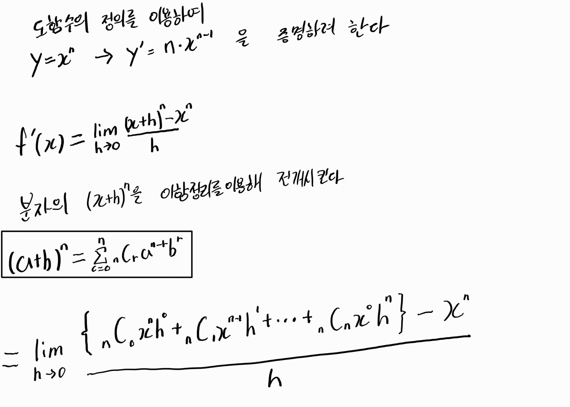
파워룰의 증명(자연수범위)
블로그별명
2023. 7. 17. 08:14
본문에 틀린내용이 있으면 지적부탁드리겠습니다!!🙏
이항정리에 대한 이해가 있으면 좋습니다
https://doingcomputer.tistory.com/40
도함수 소개
도함수는 미분계수를 일반화한 개념으로 함수의 x값에대한 접선의 기울기(y)를 나타내는 함수이다

파워룰의 증명


