조합개념은 순열개념과 연결되기때문에 순열을 먼저 이해하면 조합의 이해가 쉽다
순열: n개에서 r개를 뽑는 경우의 수, 순서 영향o
조합: n개에서 r개를 뽑는 경우의 수, 순서 영향x
(a,b,c)에서 두개를 뽑아 만들수있는 순열은
(a,b) (a,c) (b,a) (b,c) (c,a) (c,b) 총 6개이다
(a,b,c)에서 두개를 뽑아 만들수있는 조합은
(a,b) (a,c) (b,c) 총 3개이다
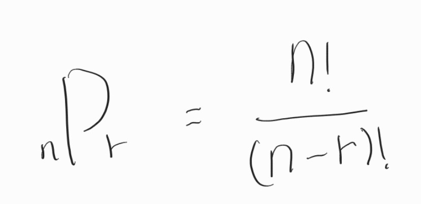
순열 공식의 이해
이제 순열을 계산해보자
n개에서 r개를 뽑아 만들수있는 경우의 수는 몇가지일까?
처음에는 n개중에 하나를 고르면 되니까 n가지방법
두번째는 아까 고른것을 빼고 (n-1)개중에 하나를 고르면 되니까 (n-1)가지 방법 세번째는
...
이런식으로 r개까지 뽑으면된다 팩토리얼로도 표현할수있다


조합과 순열의 관계
조합과 순열의 차이는 순서에 영향을 받는지 안받는지의 차이에 있다
하나의 조합에서 여러가지 순열이 파생된다
예를들어 조합 (abc)로 순열 (a,b,c), (a,c,b), (b,a,c), (b,c,a), (c,a,b), (c,b,a) 을 만들수있다
따라서 조합의 수 공식은 다음과 같다


참고
'공부 정리 > 수학' 카테고리의 다른 글
| 큰수의 법칙(Law of Large Numbers) (0) | 2023.11.16 |
|---|---|
| 파워룰의 증명(자연수범위) (0) | 2023.07.17 |
| 이항정리의 증명 (0) | 2023.07.01 |
댓글