본문 바로가기
공부 정리/수학

이항정리의 증명

by 블로그별명 2023. 7. 1.

조합에 대한 이해가 필요하다

https://doingcomputer.tistory.com/38

소개

이항정리는 (a+b)ⁿ 형태의 식, 예를 들면 (x+y)⁷ 과 같은 식을 어떻게 전개하는지 알려준다

지수가 커질수록 식을 전개해지기 어렵지만, 이항정리를 이용하면 빠르게 전개할수있다

 

 

증명

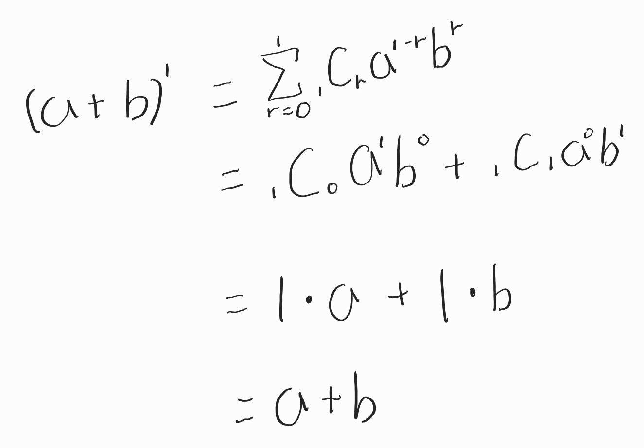
n=1일때 공식이 성립한다

 

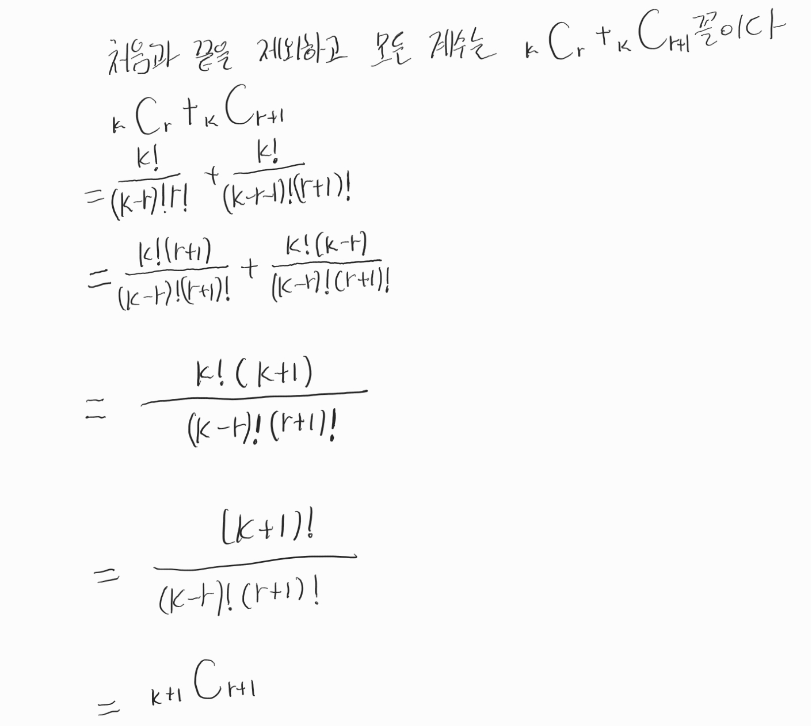
n=k일때 공식이 성립한다고 가정한다

 

그러므로 양변에 (a+1)을 곱해도 등식은 성립할것이다 

 

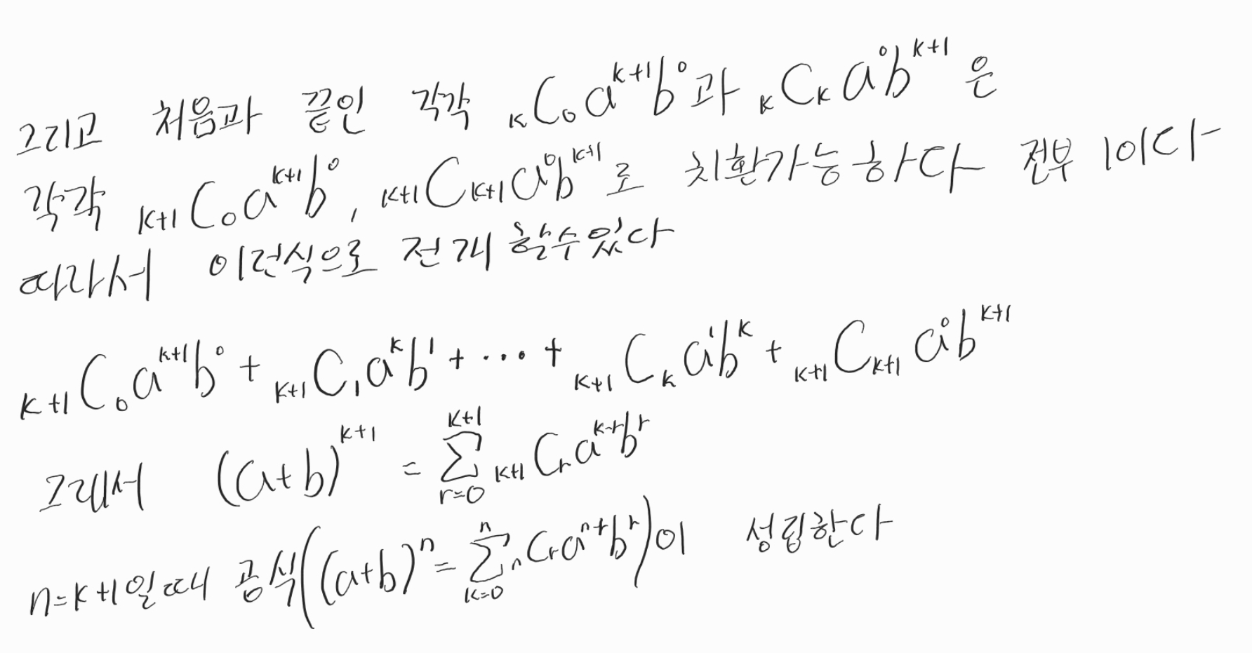
만약 n=k일때 공식이 성립하면 n=k+1일때도 공식이 성립한다
n=1일때 공식이 성립하므로 이항정리는 모든 자연수 n에 대하여 성립한다

'공부 정리 > 수학' 카테고리의 다른 글

큰수의 법칙(Law of Large Numbers)  (0) 2023.11.16
파워룰의 증명(자연수범위)  (0) 2023.07.17
순열과 조합 공식 이해  (0) 2023.06.18

댓글