본문에 틀린내용이 있으면 지적부탁드리겠습니다!!🙏
이항정리에 대한 이해가 있으면 좋습니다
https://doingcomputer.tistory.com/40
도함수 소개
도함수는 미분계수를 일반화한 개념으로 함수의 x값에대한 접선의 기울기(y)를 나타내는 함수이다

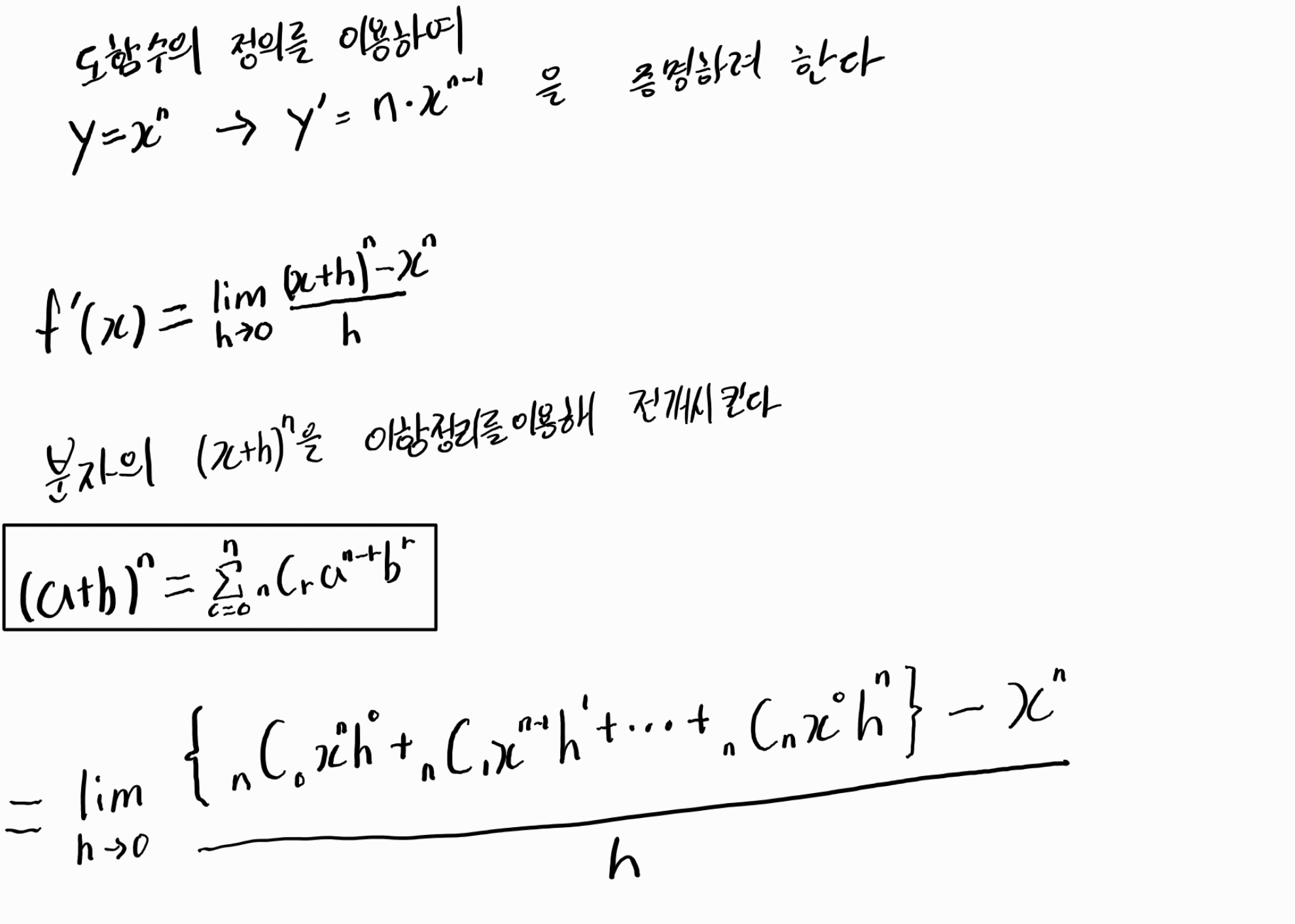
파워룰의 증명



참고
'공부 정리 > 수학' 카테고리의 다른 글
| 큰수의 법칙(Law of Large Numbers) (0) | 2023.11.16 |
|---|---|
| 이항정리의 증명 (0) | 2023.07.01 |
| 순열과 조합 공식 이해 (0) | 2023.06.18 |
댓글